Embed presentation
Download as PDF, PPTX




















































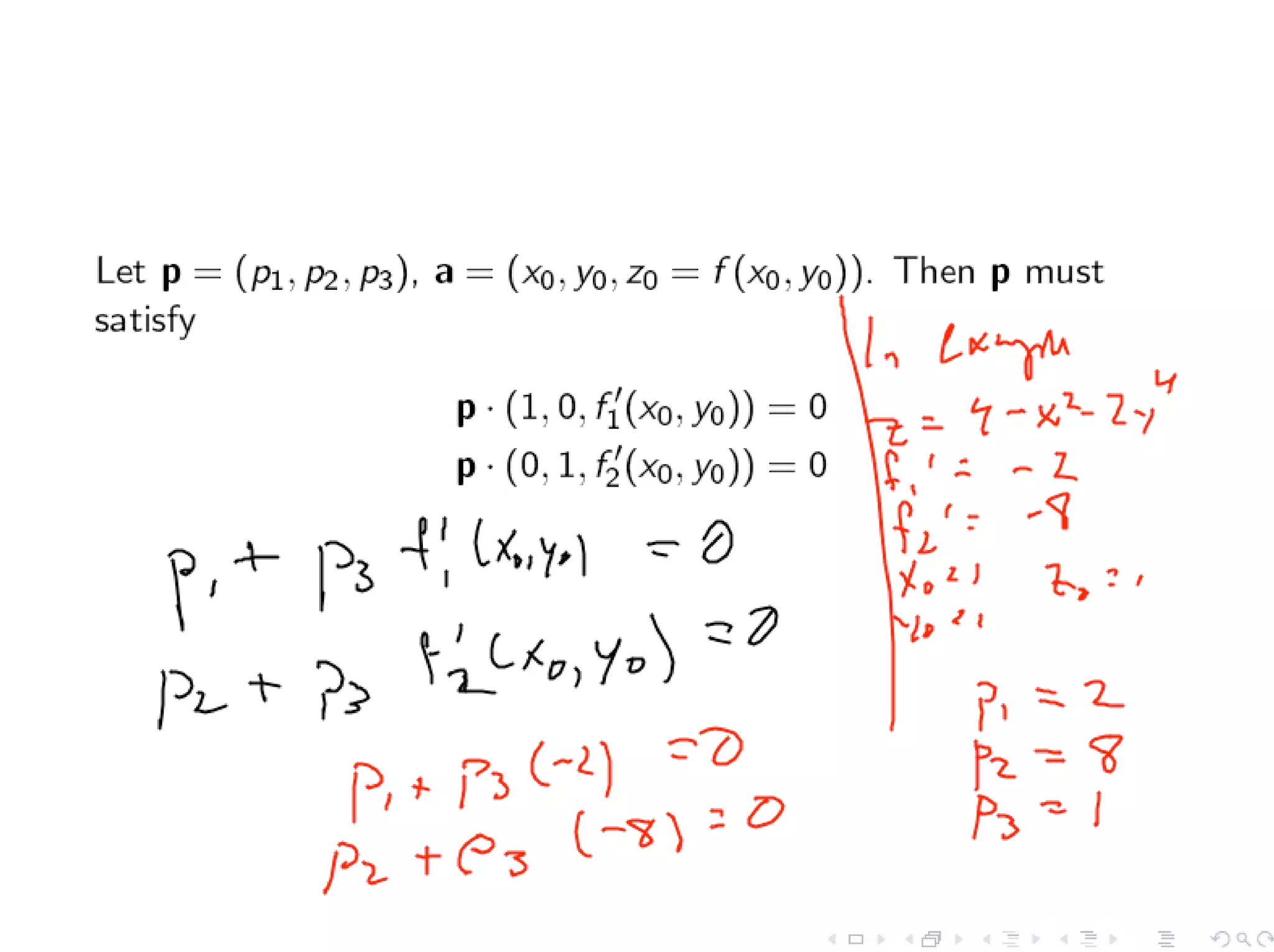
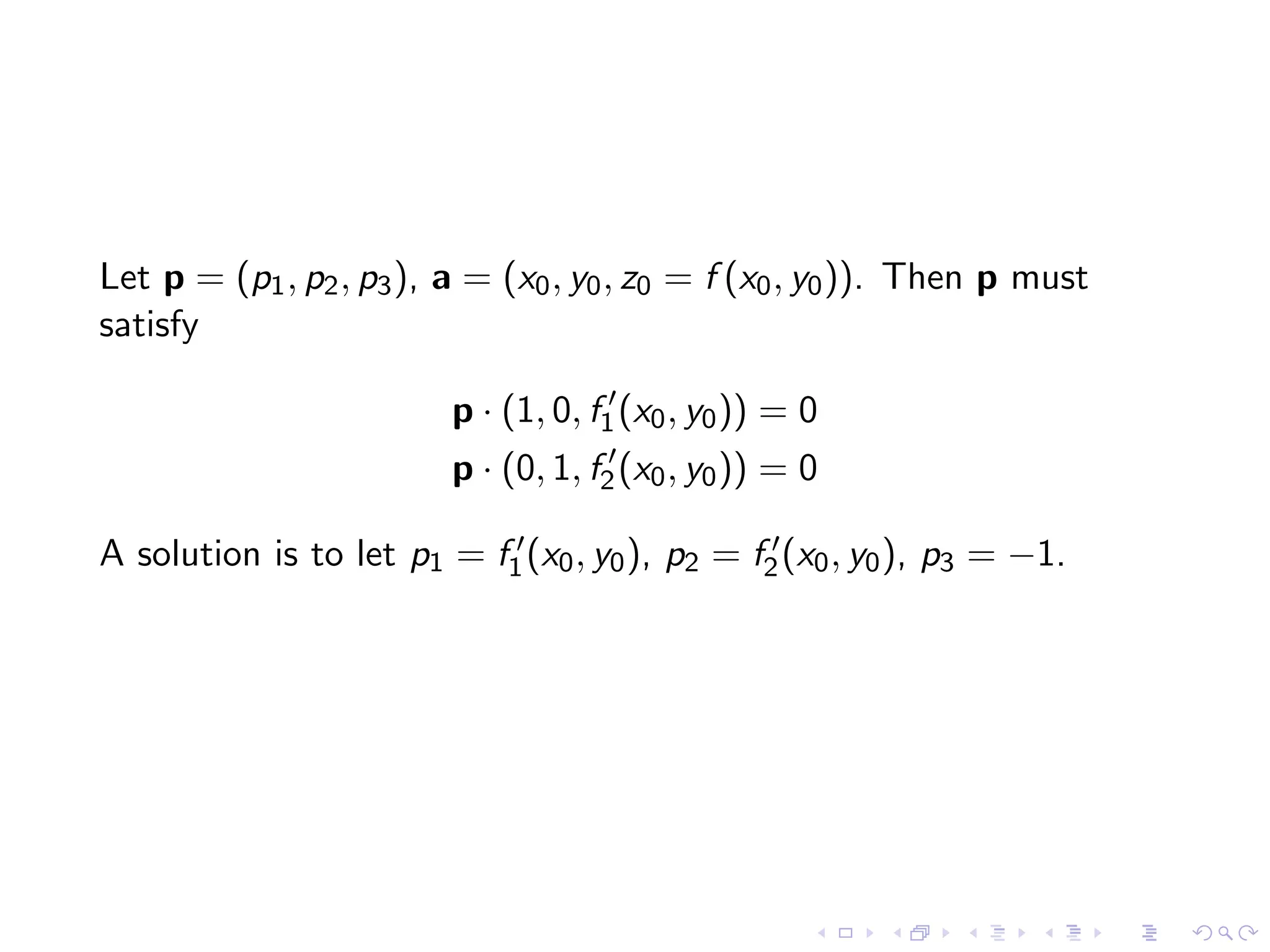
The document is notes for a lesson on tangent planes. It provides definitions of tangent lines and planes, formulas for finding equations of tangent lines and planes, and examples of applying these concepts. Specifically, it defines that the tangent plane to a function z=f(x,y) through the point (x0,y0,z0) has normal vector (f1(x0,y0), f2(x0,y0),-1) and equation f1(x0,y0)(x-x0) + f2(x0,y0)(y-y0) - (z-z0) = 0 or z = f(x0,y0) +


















































