Moderated estimation of fold change and dispersion for RNA-seq data with DESeq2
- PMID: 25516281
- PMCID: PMC4302049
- DOI: 10.1186/s13059-014-0550-8
Moderated estimation of fold change and dispersion for RNA-seq data with DESeq2
Abstract
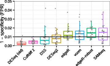
In comparative high-throughput sequencing assays, a fundamental task is the analysis of count data, such as read counts per gene in RNA-seq, for evidence of systematic changes across experimental conditions. Small replicate numbers, discreteness, large dynamic range and the presence of outliers require a suitable statistical approach. We present DESeq2, a method for differential analysis of count data, using shrinkage estimation for dispersions and fold changes to improve stability and interpretability of estimates. This enables a more quantitative analysis focused on the strength rather than the mere presence of differential expression. The DESeq2 package is available at http://www.bioconductor.org/packages/release/bioc/html/DESeq2.html webcite.
Figures
References
-
- Lönnstedt I, Speed T. Replicated microarray data. Stat Sinica. 2002;12:31–46.
Publication types
MeSH terms
Substances
Grants and funding
LinkOut - more resources
Full Text Sources
Other Literature Sources
Medical
Molecular Biology Databases
